作者:Stanford Blockchain Club
编译:Peisen,BlockBeats
编者按:本文以 Base 网络为例,深入探讨了 2024 年初 meme 币 BRETT 的推出如何引发了一场显著的市场事件,导致用户行为和交易模式的转变。通过对供需关系的分析,研究揭示了 Gas 费用上升与交易活动之间的微妙互动,展示了这一催化剂事件对网络用户的深远影响。
本文不仅通过回归模型量化了 BRETT 事件对交易行为的影响,还进一步探讨了这种外部冲击如何放大了用户对交易成本的敏感性,导致了需求的急剧下降。这一现象反映了区块链网络在面对意外事件时的脆弱性及其快速变化的本质。
对大多数人来说,供应链的意外中断几乎没有什么好处。然而,对于研究人员而言,这些中断却提供了宝贵的机会,使他们能够理解在平常情况下难以理清的市场动态。例如,由于价格和数量是供需关系的直接表现,因此很难判断是供应、需求还是两者共同影响了市场。这便引出了那句老话:「不要仅凭价格变化推理。」但当其中某个因素突然以可预测的方式发生变化时,有时你就可以从中得出结论。

例如,一项来自 NBER 的研究利用 COVID-19 引发的供应冲击来理解需求动态,展示了此类突发外部冲击如何成为影响美国经济中就业和销售的重大再分配力量。通过分析在罕见市场事件中的行为变化,研究人员能够将危机转化为深入经济洞察的机会。
区块链网络的运作具有类似于生产线的固有容量限制。每个区块都有固定的交易数据容量,因此空间成为了一种稀缺资源。随着交易需求的增加,对区块空间的竞争也在加剧,从而可能导致网络拥堵。
今年三月,以太坊实施了 EIP-4844 提案,旨在提高网络容量并降低 Layer-2 的交易成本,使得像 Arbitrum 和 Optimism 这样的网络享受到了显著的 Gas 费降低。然而,在该提案实施后不久,Base 网络的 Gas 价格却出现了激增,超过了 EIP-4844 推出前的水平。

在此期间,Base 的用户活动显著增加,主要由 DeFi 交易活动推动。鉴于 Base 的生态系统一直倾向于消费者导向的应用程序,这种激增尤其出乎意料。Base 最初由 Coinbase 团队孵化,得益于广泛的营销和品牌推广,致力于打造一个鼓励创作者、开发者和社区参与的链。因此,该生态系统主要由消费者应用组成,其中最成功的应用如 Friend.tech,都是面向消费者的。

Base 用户活动的反转以及交易量的突然激增,可能归因于由意外外部事件引发的供应冲击,这影响了系统的供应链。此类冲击可以显著改变可用性和成本,从根本上改变用户行为和网络动态。
要构成真正的供应冲击,事件必须是外生的、意外的,并且足够强大以扰乱既有的市场动态。
在 EIP-4844 提案实施后,最显著的变化之一是去中心化交易所(DEX)交易量的突然增加,这种交易范围已经超出了典型的稳定币和 ETH,扩展到新的代币类别。此前,Base 网络上的交易主要集中在这些类别,meme 币平均仅占所有 DEX 周交易量的 15% 以下。

历史上,meme 币热潮往往由一个「信标」代币引发,该代币能吸引显著的市场兴趣并设定新的交易基准。这一现象很可能是由信息瀑布等因素驱动的。在 Crypto Twitter 等平台上,成功的交易故事被放大,而失败的案例则往往被忽略,导致对潜在收益的认知出现偏差。当交易者观察并模仿他人的行为,假设他们掌握了有价值的信息时,就会形成一个自我强化的循环。这会迅速推高 meme 币的价格,并通常导致市场的剧烈波动。
例如,2023 年末在 Solana 上,dogwifhat(WIF)代币的市值从不足 100 万美元在几个月内飙升至数十亿美元。WIF 的成功引发了 Solana 上的 meme 币狂潮,伴随着 meme 币发行的增加以及 meme 币基础设施的发展。

尽管自 Base 网络上线以来,meme 币就已经存在,但直到今年三月之前,没有任何一个 meme 币能引起市场的广泛关注。Base 主网的最初上线是由 meme 币交易狂潮推动的。在网络正式上线前,成千上万的用户涌向 Base 进行 meme 币交易。随着新应用程序的启动,这些代币的交易活动逐渐减少。受以 Pepe 为主题的流行书籍中的角色启发,BRETT 代币在 2 月底至 3 月初上线,并迅速在 Base 上崭露头角,其市值在大规模 meme 交易活动出现前就已达到 3.5 亿美元。它的迅速崛起不仅使其脱离了典型的市场趋势,还在整个网络上引发了更广泛的交易热潮。
BRETT 代币的初步成功通过潜在的模仿效应吸引了投机交易者,吸引了一批更专注于 meme 交易的新用户,而非参与网络的应用程序。虽然这一群体的关注点较为狭窄,但值得探讨这种 meme 狂潮对 Base 生态系统现有用户群体的连锁反应,特别是他们的典型行为如何因这一事件而发生变化。尽管仅凭表面数据无法确认观察到的拥堵直接由 BRETT 代币事件引起,但这促使我们进一步进行更详细的分析,以准确评估其对用户行为和需求的直接影响。
本次实验的主要目标是分析 Base 网络上的供需动态,重点关注在 BRETT 事件发生前、发生期间以及之后,Gas 费用(供应)和交易活动(需求)之间的互动关系。本次分析的一个关键部分是将 BRETT 上线的影响与一般市场行为分离开来。
为了获得对市场动态的清晰洞察,我们将排除与 BRETT 代币直接相关的交易活动。我们的分析将集中于在 2 月底该代币上线之前就已经活跃的地址,从而能够评估一个未受新代币投机兴趣影响的持续用户群体。此方法确保了我们对 Base 网络上更广泛用户行为的研究不带偏见,不会因那些主要关注 BRETT 的用户而受到不成比例的影响。
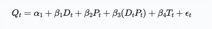
在本研究中,我们使用了一个回归模型,该模型包含一个核心的二元变量,用于分析 BRETT 上线的影响。模型中的变量及其功能选择是为了反映这一市场事件的细微影响。
模型定义如下:

其中:
需要注意的是,这个模型在当前形式上相对简单,主要用于揭示与这一特定催化剂相关的需求变化。模型未考虑可能来自基准条件或其他潜在趋势的内生性,这可能会掩盖事件发生前的真正因果关系和需求弹性。例如,可能存在遗漏变量,并且 Gas 使用量和费用之间可能存在同时因果关系,加上其他噪声,可能会影响我们初始估计的准确性。
尽管如此,该模型使我们能够确定 BRETT 冲击是否导致了 Base 网络上交易行为的显著变化,而这一变化是独立于 BRETT 直接交易活动的。
通过对 2024 年 1 月初至 5 月底非 BRETT 相关用户群体的逐小时分析,我们可以得出以下关于 BRETT 代币上线及其首次飙升的结论:

在 BRETT 代币上线后,用户在面对 Gas 价格上涨时表现出了显著的行为转变。回归模型显示出一个显著的负向交互项 (₃=−0.333),这表明代币上线后 Gas 费用的增加很可能抑制了用户的交易行为。
具体而言,交互项表明在 meme 事件后,Gas 价格每增加一个标准差 (Δ=1.2×10⁵ gwei),Gas 使用量 (Δ) 将减少 41,200 gwei,相当于典型每小时标准差的 79%。换句话说,根据模型预测,在高拥堵事件期间,Gas 价格每增加一个标准差,需求将减少大约 0.79 个标准差。
总的来说,meme 币「信标」BRETT 的引入对 Base 的初始用户群体产生了负面连锁反应。催化剂引发的拥堵加剧了这一群体对 Gas 价格上涨的敏感性,使他们更加排斥交易成本——即使这些成本接近 EIP-4844 实施前的水平。
BRETT 对 Base 的影响展示了加密生态系统中更广泛的脆弱性和用户的适应性行为。该事件强调了新兴代币,尤其是意外事件,如何能够显著影响交易指标、用户行为和网络稳定性,体现了区块链操作框架内动态变化的快速性。
此事件突显了供应(在本例中为网络费用)与用户需求之间的微妙关系,这并非一个简单的线性关系。需求可以像 BRETT 事件那样突然转变,或者随着生态系统的成熟逐渐演变。这些变化强调了网络调整与用户反应之间复杂的相互作用,这种反应并不总是可预测的,而且会因外部冲击或预期的网络升级而广泛变化。
展望未来,随着更多外生事件或已知升级的发生,理解这些基本动态变得至关重要。识别用户对生态系统内变化的模式和潜在反应,有助于预测更真实的用户动态和反应。
📝 本文最后更新于 2026年04月27日,部分内容可能已发生变化,请以最新信息为准
安全稳定的交易平台 | 新用户注册享专属福利
⚠️ 风险提示:数字货币交易存在风险,请理性投资,谨慎决策