原文标题:《情人节特辑:Blur 空投 + 发币,惊喜在哪里 (The Floor is All Yours, Blur)》
原文作者:Eric,Puzzle Ventures
如果看⼀下最近 3 个⽉的 NFT 交易量市场流量排名,不难发现 Blur 的总交易量超过了 OpenSea,⼏乎所有的 NFT 项⽬的地板都挂在 Blur 上。
究竟是什么原因让 Blur 如此成功?它的成功可以持续下去吗?本⽂会带你详细剖析⼀下 Blur 的前世今⽣。

NFTGO 最近三个⽉交易市场数据(来源:https://nftgo.io/analytics/marketplace)
2022 年三⽉底,⼀条不起眼的融资消息在推特上,Blur 融资 11 M,领投的是⼤名⿍⿍的 Paradigm, ⽽其他的天使投资⼈则是⼀众 NFT KOL, 包括 Deeze, Zeneca, 6529 等。公告给出的项⽬信息不多,他们要做的是:NFT 专业交易 (pro-trading)。
正值上⼀轮⽜市末期最后⼀波⾏情, NFT 市场也在散发余热,各种新晋蓝筹项⽬层出不穷,各种新兴 NFT 交易市场也各显神通。⾃从 looksrare 开启了空投代币来激励交易的先河之后,打开了原本的交易市场的新思路。x2y2 则是另外⼀个加⼊到这场竞争中的,引⼊了挂单激励的概念。
此后这些市场的交易量蒸蒸⽇上,虽然⼤部份交易量是为了赚取代币⽽进⾏的洗售交易(wash-trading)【请参考Puzzle Ventures《从数据看 NFT 市场中的洗售交易 (Wash Trade)》】,但是真正的流量却不可⼩觑,据统计平均有超过 15% -20% 流量在 OpenSea 以外发⽣。
NFT 市场脱离了以 OpenSea ⼀家独⼤的形势,⽽成为了以 OpenSea 为主导的市场。虽然⾄今还有许多⼈只知道 Opensea,但是对于 degen 们来讲,哪怕就算是 0.1 个以太的价格差,他们也不会吃这个亏,所以他们在各⼤平台不停切换来获取 NFT 的最低报价(floor price),在这样的需求下,聚合⼯具⾃然应运⽽⽣。
NFT 聚合器有两种不同的⽤户,他们分别看重两种不同的功能。
第⼀种是想要购买某⼀个 NFT,使⽤聚合器的⽬的是为了更加便捷得快速浏览所有挂单的 NFT,最后购买某个喜欢或者定价错误的 NFT。(Sniper)
另外⼀种⽤户是想⼤批量的购买某个 NFT 项⽬,这样他就会使⽤聚合⼯具,因为如果在单独的市场上扫地板会很亏,⽽且在此之前各⼤交易所还没有批量购买的功能。(Trader)
以 Genie 为⾸的⼤众聚合器开始展露头⾓,Genie 上线后就吸引了不少的交易量。但数⽉之后被 Gem 所取代,原因是后者的 UI/UX 更好,信息更新更快,交易失败率更低。⽽ Genie 却⼀蹶不起,最后被 Uniswap 所收购。这说明聚合器⾮常需要看重使⽤体验, 因为他们仅仅帮助⽤户更便捷得购买 NFT,并没有强⼤的护城河;如果产品体验不佳,⽤户还不如直接去市场购买,所以更好更快的产品会迅速占领市场。
市场上的交易量⼤部分是由⼤户主导的,往往可以套⽤ 3/7 定律,即 70% 的交易量在 30% 的⽤户⼿上,所以这些⽤户的需求才是重中之重。⽽ Gem 等聚合⼯具的使⽤体验和普通交易市场并没有多⼤的区别。他们都是类似于购物类⽹站的界⾯,加载速度相对较慢,可以让⽤户很好得浏览每个 NFT,慢慢决定购买,⽽不是从事专业交易。
NFT 交易员对于信息的及时度,操作的流畅感和专业交易功能是相当看重的,往往可能因为⼏秒钟的时间⽽错失良机。
在 Blur 之前,也有⼀些专业的⼯具,例如 Trait Sniper 等,但是他们⼤多是收费的,功能也主要在于项⽬开图时秒杀稀有 NFT。市场迫切需要⼀个更强⼤得聚合⼯具来整合浏览,秒杀和批量购买,减少信息滞后和⻚⾯加载时间,⽽且还要免费使⽤,Blur 就这样诞⽣了。

从 2022 年中旬开始,Blur 就开始在 NFT ⼤户圈⼦中传播,其得益于天使投资⼈ KOL 的强⼤阵容。随后他们开展了平台封测,规则很简单,邀请制。他们从⽤户过去⼀年在 OpenSea 的交易数据来给⽤户打分,⽤户还可以通过发送邀请码给其他⽤户,根据新⽤户的交易数据赚取积分,分数排名越⾼,就优先给予测试资格。因为市场是由⼤户主导的,所以这些有这些拥有流量的⽤户来测试就已经可以代表很⼤的市场份额。
Blur 从⼀开始就针对专业⽤户来开发,也就是说 Blur 的各种功能在封测的时候就有⼀个⼤概⽅向了,它不需要多花⼼思来博取普通散户的喜好。相反的,像 OpenSea 这样的平台虽然⽤户数量很庞⼤,但是它的交易量也并没有⽐ Blur 多多少。Blur 在选择这条路的同时,节省了很多营销资源,不需要去和 looksrare 或者 x2y2, gem ⼀样去做散户营销来让他们使⽤产品。让⼤户使⽤ Blur 的同时,这些 KOL 会在 twitter 上间接宣传 Blur,其效果⾮常显著。如果产品本⾝质量⽐现有的竞争对⼿要好,散户们也乐于尝试。
对于⼀个聚合器来讲,聚合功能并不能赚钱。因为⼀旦决定收钱,很多⽤户就不会愿意使⽤这个平台,他们可以在平台上获取 NFT 的挂单信息,然后绕过平台在挂单得交易市场上进⾏直接购买。但如果信息不透明的话,将会很少有⽤户来使⽤,因为他们想要获得的服务就是信息的聚合。所以聚合器必须要作为⼀个流量⼊⼝,通过另外⼀个产品来获利。
像 Gem 和 Genie,这⼀类聚合器最后没有找到这个收⼊来源,最终的命运就是被收购。OpenSea 为了留住⽤户流量,最终也是会把 Gem 融⼊⾃⽣的 UI。⽽ Uniswap 则是通过 Genie 来实现⾃⼰雄⼼勃勃的引⼊ defi ⽤户购买 NFT 的计划当中。从上⾯可以看出单⼀的聚合器产品是⾏不通的,必须要打出组合牌。
⽽ Blur 就⾃然⽽然得想到了交易市场,它在保证了⽤户获得市场上最优报价的同时, 让⽤户可以在同⼀个平台⾥挂单和出价。⽽在其他平台中却做不到这⼀点,这样⽤户就留在了它的平台上,获取了⽤户在使⽤聚合功能得时候顺便在平台上买卖的收⼊。这⼀点也让 looksrare 和 x2y2 嫉妒不已,以⾄于他们也在开发⾃⼰的聚合⼯具,x2y2 即将推出 pro,⽽ looksrare 也在基于 reservoir 开发聚合⼯具。但是他们的思路和 blur 是相反的,为了平台引流⽽开发聚合。
虽然 Blur 得 API 正在开发中,但开发的速度相当缓慢,使得外界⽆法接⼊ Blur ⾃⽣市场的流动性,这样就暂时形成了⼀个只进不出的系统。也就是说 Blur 可以聚合外部的流动性,但是其他聚合器⽆法聚合 Blur。然⽽⼜因为 Blur 占有了很⼤⼀部分底部流动性,所以使得其他聚合器的竞争⼒下降,所以它收到了不少对于恶性竞争的猜疑。

⼀个聚合器如何能做到⾃⽣市场的流量甚⾄超过了 OpenSea?代币奖励、产品运营是其次,最主要的还是因为可选版税(optional royalties)。正因为可选版税的问题, OpenSea 和 Blur 为此⼤打出⼿。
在 Blur 上线之初,最引⼈注⽬的是可选版税,当然它不是第⼀个这样做的项⽬,早在⼋⽉底 x2y2 率先宣布他们⽀持可选版税。这引来了很多⼈的质疑,因为项⽬⽅的持续收⼊⼤部分是靠⼆级市场的版税。很多⼈都觉得这对整个 NFT 系统的⽣态发展不好,然⽽这恰恰成为了这些⼆线交易市场赚取流量的切⼊点。
NFT 版税是⼀个在 NFT 买卖中需要⽀付给项⽬⽅的款项,由项⽬⽅⾃⾏设定,⼀般在 5% -10% 左右,但基于标准的 ERC-721 合约,项⽬⽅并不能强制征收版税,完全是靠交易市场⾃⼰的合约来实现。正因为版税得⾼额度使得⽤户不情愿⽀付,所以很多⼈更愿意选择这些可选版税的市场来挂单。那么既然卖家在可选版税市场会⽐强制版税平台获得更多的利润,他们就更愿意以更低的价格在可选版税市场挂单,这样就把整个交易市场的地板价格给拉了下来,也就是说像 OpenSea 这样的强制版税的交易市场价格往往⽐较⾼,这样就降低了买家在这类平台上购买的积极性,于是流量就开始流失。
其实早在 Blur 刚出来不久,x2y2 就已经意识到了 Blur 的潜在威胁,因为 Blur 是零⼿续费,⽽同样作为可选版税的 x2y2 却还有 0.5% 的⼿续费。x2y2 曾经⼀度通过限制 API key 的⽅式来抵制 Blur,最后虽然解决了在 Blur 上购买 x2y2 NFT 的问题,但是⾄今仍然⽆法通过 Blur 在 x2y2 上挂售 NFT。
⽽对于 OpenSea, 它流失的交易量远⽐ x2y2 更多,以⾄于由数周的交易量近乎要被 Blur 赶上,正值熊市的币圈⻛暴,OpenSea 终于决定出招了。当时它有两个选项,第⼀个是宣布也变成可选版税,第⼆则是出台⼀个新的强制版税的⽅案。但是迫于舆论压⼒和就算是第⼀种 OpenSea ⾼额的交易费也⽆法和 Blur 的低⼿续费竞争的缘故,不得不选择了后者。
2022 年 11 ⽉,OpenSea 发布了「Operator Filter Registry」,是⼀段以⿊名单的⽅式来阻隔可选版税市场的合约代码,并规定, 1 ⽉之后所有新的项⽬必须在可选版税和强制版权中做出选择,如果选择了强制版权必须使⽤他们的 “Operator Filter Registry”代码。⽽这代码中拦截的交易市场,不⽤多说⾃然有 Blur。这条消息的影响⼒之⼤不得不使得的⼀些交易市场妥协,⽐如 x2y2,他们的营销策略是获取⻓尾新项⽬的流量,所以如果当这些新项⽬选择了 OpenSea 的⿊名单代码之后,在 x2y2 就⽆法交易了。于是 x2y2 强制了版权,顺理成章得从⿊名单中剔除。这⿊名单策略的效果是有⼀点滞后的,当⼤家还在欢庆圣诞假期 Blur 流量创新⾼的时候,暗流已经开始涌动。

2023 年期待已久的两⼤新 NFT 项⽬, 打破了寂静。Memeland 的 Captainz,和 Yuga Labs 新发⾏的 Sewer Pass, ⽆⼀例外采⽤了 OpenSea ⿊名单,⽽把 Blur 拒之门外。所有的流量都在 OpenSea 和 x2y2,当⽇创下新⾼,Blur 的流量顿时变成了第三。
于是 Blur 陷⼊⼀个怪圈之中,虽然对于已经发⾏过的⽼项⽬,版税⽆法强制,所以这些⽼蓝筹的流量仍然会在 Blur 上,但随着时间推移,新的项⽬越来越多,Blur ⽆法通过这些项⽬来赚取未来的⼿续费,换句话说它只能吃⽼本了。
然⽽天⽆绝⼈之路,不久前这些加⼊⿊名单的项⽬居然可以在 Blur 上架了!究竟是为什么呢?原来 Blur 利⽤ OpenSea ⾃⼰的底层交易协议 Seaport 开发了⼀个新的交易市场。这 Seaport 因为是 OpenSea ⾃⼰的协议,所以并没有被⿊名单。虽然问题被解决了,但是因为 Seaport 强制了版税,所以在 Blur 上挂单的新 NFT 仍然需要缴纳版税。不过这已经很不错了,在 Blur 仍然有 2.5% 交易费⽤的节省,地板⼜开始出现在了 Blur 上。虽然优势不再很⼤,但⾜以挽回⼀局。美中不⾜的是 Blur ⽆法上架这些新项⽬的出价功能。
对于⼀个新的平台⽤什么样的⽅法来吸引⽤户来使⽤呢?Blur 作为⼀个 Web3 Native Protocol,使⽤⽅法⾃然是空投!
⽤户只要在 Blur 上 list ⼀个 NFT 超过 14 天就可以获取空投,空投的数量以他们之前在 OpenSea 交易数据决定。但是空投的却不是代币⽽是神秘的盒⼦,这些盒⼦在最后代币发⾏的时候可以开启来获取代币。换句话说就是滞后发币, 发给⽤户⼀些链下积分。这么⼀做很多⽤户都在批评,以⾄于刚开始⼏天很⾼的交易量并没有保持很久。不过这⼀点也是没有办法,因为 2022 Q4 的时候市场实在惨淡,整个 NFT 的市场的价值已经从巅峰时候下降了 80% ,不如稍微缓⼀缓把空投分为好⼏个周期。于是他们就这么做了,⼀共分成了三个周期。
第⼆波空投是由在 Blur 上的挂单和交易量决定的,在 11 ⽉份发放,但是由于数据统计和售洗交易的原因它发放的时候的箱⼦数量并不正确,很多⼤户只拿到了⾮常少的箱⼦,也并没有按照之前说的第⼆波空投的量是第⼀波的 10 倍,在发放的同时再让⽤户知道这不是最后⼀波空投,第三波空投以及正真的代币发⾏在 2023 年 Q1。这让社区的批评声⾳变多,甚⾄⼀度很多 FUD,最后 Blur 也不得不低头,重新把空投的数量调整了变成了第⼀次空投数量的 10 倍左右,谁想到这招来了更多的质疑,因为像这样撒币,让⼤家意识到这些空投的盒⼦并没有价值多少钱。⽽且在未来代币经济学不明朗的情况和熊市⼤环境的影响下,⼤家第⼀想到的是抛售空投。很多⼈觉得这会引起下⼀波 NFT 熊市。不过这并没有影响 Blur 的交易流量,反⽽因为第三波空投的条件把 Blur 推向了巅峰。
这第三波空投的奖励是基于⽤户在 Blur 交易市场上挂出买单(Bid)。规则是项⽬交易量越⼤,挂单的价格和地板价越接近获得的空投越多。于是为了空投,很多市场上的闲散资⾦就开始在 blur 上出价,⼀度使得某些蓝筹项⽬的买卖价差趋近于零。⼤部分蓝筹项⽬的买单的总额甚⾄超过了所有买单价格的总和!这样使得 Blur 上的 NFT 的流动性达到了⼀个极点,交易量⾃然⽽然得变⼤了,因为交易的不再只是单纯的购买卖单的交易 (buy listing),更多的是接受买单的交易 (accept bid)。

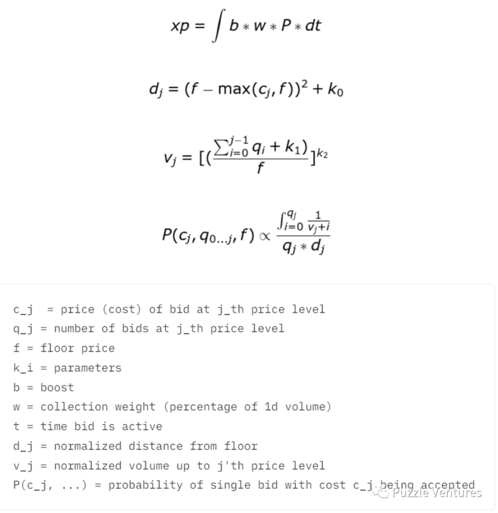
第三波空投奖励公式
2 ⽉ 14 号将迎来 Blur 的第三波空投和期待已久的代币发⾏。因为空投预期,买单的资⾦池中已经有将近两万五千以太的额度(https://etherscan.io/address/0x 0000000000 a 39 bb 272 e 79075 ade 125 fd 351887 ac)。这其实相当于是⼀种通过预挖矿的⽅式来租赁流动性,但它聪明的⼀点在于,它并没有公布空投的实际数量,所以让⼤家来 speculate。在空投之后这些流动性是否还能够维持下去,则必须要有⼀个良好的代币经济模型才⾏。

最开始使⽤代币经济学的交易市场是 Looksrare,他们引⼊了 NFT 交易挖矿和挂卖单挖矿,甚⾄为了提⾼买单流动性,设计出了⼀套离地板价越近,获得的奖励也越多的系统,这样做也是迫不得已,毕竟价格越低才会有买家来购买。然⽽以奖励交易的⽅式会引起洗售交易,最后并没有给平台带来多⼤的增⻓,只是相当于持续发币。Blur ⾃然明⽩其中的道理,它⼤⼏率会奖励挂单为主来吸引真正的实际交易量和市场份额。尤其是买单,原因是它的低⼿续费和可选版税,已经⾜够吸引了⼤家来 Blur 上挂卖单,所以它不需要过多的奖励卖⽅。⽽其他交易市场并没有⼀套成熟的买单激励机制,使得市场上的交易员们和鲸⻥更愿意在 Blur 上挂买单来赚取激励。在 NFT 市场上,尤其在⽜市,⽤户接受卖单是远远⼤于买单的,因为 NFT 有低流动性⻛险, 但是对于⼀个成熟的市场来讲买卖双⽅应该是平衡的,如果有⼀个良好的激励模型,买单流量的潜⼒是不可估量的。⽬前从它得空投模型可以猜出未来可能也是离地板价越接近(spread 越低)买单获得的奖励越⾼。
让我们来量化得分析⼀下,如果它可以维持每天⼀万以太的流量,假设 Blur 会未来会收取 0.4% 的⼿续费(它⼀定不会收取⽐ x2y2 更⾼的费⽤,因为竞争的原因)。假设它拿出⼀半的收⼊ 0.2% 来维持 Blur token 来发放奖励,那么⼀年的话可以给出相当于 7300 以太左右的代币奖励,如果它仍然维持⽬前两万五千以太的流动性 TVL,那么它的 APY 将会在 30% 左右。虽然做市的⻛险⽐较⾼,但是这样⼀看,似乎它的流动性在空投后并不会减少太多,毕竟现在还没有到达⽜市的流量,并且和代币本⾝价格也有关系。代币发⾏究竟会如何,让我们拭⽬以待。
在代币发⾏之后,除了良好的代币经济学,Blur 同样也可以在产品上做出改进来稳固⾃⼰在 NFT 专业交易领域的⻰头。
对于 NFT 专业交易员们来讲,除去更快速的数据更新速度和操作流畅度,他们更喜欢⼀站式的体验。Blur 在这个⽅⾯已经做到了让交易员出了可以在⾃⼰平台上买到聚合的 NFT 挂单,也可以在⾃⼰的平台上挂单和出价。但是这⼀点对于交易员们还远远不够,未来还有很多提升的空间。这边提到有⼏个思路:
1. 专业图表
对于交易员来讲,他们不仅需要知道某个项⽬⽬前的地板价,也需要知道地板价格的变动,就和在中⼼化交易所看到的 K 线图⼀样。另外他必须对于市场上⼤户的持仓有所了解,这些都离不开分析图表。⽐如 NFTGO 所提供的⼀些分析就很适合植⼊ Blur。

2. 买单聚合
虽然 Blur 可以让⽤户在平台上挂买单,但是它并没有聚合市场的所有的买单,⽐如在 Blur 就⽆法获知 OpenSea 的出价,这样很有可能⼀个套利机会就错过了。Skillet 是⼀个 NFT 买单聚合平台,可以让⽤户以更好的价格来清算 NFT。Blur 同样也可以加⼊这⽅⾯的功能。

3. 专业下单⼯具
对于专业交易员来讲,除了需要批量买卖的功能外,他们需要更加⾼级的挂单功能,⽐如像 sudoswap 那样的 bonding curve,具有复杂逻辑的买单,或者是可以⾃动成交的限价单。这些可以参考 Tensor 的⼀些功能。

综上所述,到⽬前来看,Blur 算是⼀个⽐较成功的项⽬。它的⽤户体验良好,吸引了市场上⼤部分专业交易员使⽤,并且让他们养成了⻓期的交易习惯。通过空投预期来增加流动性的⽅式,让它的流量在短时间内超过 OpenSea,成为⼀匹⿊⻢。
Blur 将会在未来很⻓⼀段时间内作为⼀个⾮常重要的 NFT 交易市场。如果它能解决版税问题,增加产品功能,在⼀个好的代币经济加持下,将会有进⼀步的发展。
原文链接