原文标题:《十余家Web3独角兽场外估值下跌50%,熊市一级市场也疲软了》
原文作者:Julian
原文来源: Web3 World
”如果晚两个月投资这家 Web3 公司,估值就可以便宜一半了,团队都在埋怨我出手太快了。”从杭州参加完波卡生态大会回来的 Mark 有些尴尬地笑道。
今年4月,他负责的一家Web3基金以4500万美元估值完成了对一个GameFi项目的投资,5月该项目便主动将估值降到3500万美元继续进行融资,如今项目对外融资的估值已经降到2500万美元。
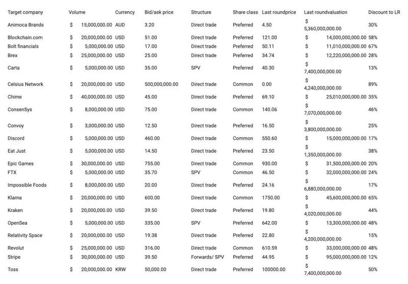
在熊市背景下,大多数项目都难逃一级估值下降的情况。Messari 创始人 Ryan Selkis 统计的数据显示,如今许多Web3 独角兽项目投资额度的场外交易价格与上一轮融资估值的价格相比,均面临较大幅度的缩水,其中不乏OpenSea、FTX、ConsenSys 等明星独角兽。超过10家Web3 独角兽估值缩水约50%,最高甚至达到90%。

极端的例子之一便是BlockFi。2021年3月BlockFi 以30亿美元的估值融资3.5亿美元,同年晚些时候曾以超过50亿美元的估值筹集资金;今年6月,媒体The Block 报道BlockFi正在以10亿美元估值进行融资,仅一年多时间,如今则有消息传出 FTX 正在以最高 2.4 亿美元的可变价格收购 BlockFi。
这也是Web3一级市场在熊市的真实缩影:部分项目估值出现下降,机构普遍观望谨慎出手,大平台则加速行业并购。
在熊市Web3一级市场也遇冷环境下,G3 与十余家Web3投资机构、创业者聊了聊,一起探索熊市Web3投资创业的思考和机遇。
”我们最近三个月一直在看项目,但还没有一次出手。“在一家头部交易所从事投资工作的 KiWi 表示,2021年年底,他们已嗅到了全球资本市场风险加大的信号,同时在追踪所有交易所新上线项目表现,发现不少出现了一二级市场倒挂的破发情况,因此判断熊市将很快将从二级市场传导至一级市场,果断按下了投资的暂停键 。
从去年年底开始,市场就一直在喊美联储加息、通货膨胀的狼要来了。但依然有不少专业机构因为惯性过大,未能在周期性如此明显的熊市抽身。
牛市赚钱效应大,无论是散户还是机构,一旦Fomo 起来,对于加密初创项目就很少基于长期现金流去难理性的估值,更多的是可比公司分析、公共同行类比估值。不少项目估值也因此而水涨船高。
比如上半年大火的 X-to-Earn 让许多机构布局了 GameFi 项目。据加密媒体Odaily统计,今年Q2 GameFi 概念的融资共 82 笔,总计占整个市场融资笔数的 16%;融资金额达 29.96 亿美元,占整个市场融资总额的 23.5%, GameFi 融资笔数与金额均遥遥领先行业。
如今随着美联储加息及主要风险资产跌幅的蔓延,熊市X-to-Earn 项目崩盘,不少此类概念的加密初创公司的估值很有可能出现下降。

GameFi 板块近一年跌幅 数据来源:Messari
比如关于 X-to-Earn 龙头的StepN,在已有的上百篇分析研究中,大多都回避了一个核心因素:币安。StepN 的胜负手在于币安的全力孵化与操盘、再加上它巧妙的 ponzi 经济模型,最终成就了最高上百亿美元的市值和火热的 X-to-Earn 赛道。
如果把一个讲究天时地利的项目当成典型,然后再作为公开市场的参照给其它同类项目类比估值,自然很容易追高,所投项目也会在一二级市场的估值之间产生脱钩。
Nothing Research 合伙人 0xTodd 则认为熊市一二级市场的估值倒挂在Web3赛道尤其明显。“整个Web3赛道,本身还是处于概念印证的阶段。特点就是现金流都比较少,用户数据主要靠补贴。这种情况下,其实非常依赖牛市的narrative(叙事)加持——即贩卖梦想。一旦进入熊市,大家的数据立刻就要缩水一个数量级,这种情况下,二级市场很难尽如人意。”
“Terra(LUNA 与UST)爆雷是一个非常明显的转折点,让许多主流投资者失去了投资兴趣,并放缓了对 Web3 领域的风险投资。”一位 DeFi 项目方负责人表示,之前有几家传统VC机构正在与其接触投资,其中不乏顶级的美元基金。但 Terra 爆雷后,大多都暂停了投资谈判。
由于二级市场的传导效应并不会很快发生,到一级市场往往有一定滞后性。Terra 崩盘及接下来的一系列清算,无疑将恐慌加速传播到整个市场,打击了大家的信心。
据Odaily的综合统计,2022年4 月共有 184 笔融资,融资金额约 70.5 亿美元,5 月共有 165 笔融资,融资金额约为 35.4 亿美元,6 月共有 162 笔融资,融资金额约为 21.2 亿美元。可以看出,5、6 月份加密市场受到 Luna 崩盘以及各大机构负面消息影响,市场情绪持续低迷,场内资金损失严重,融资数量和金额呈现加速下滑的态势。

数据来源:Odaily
一级市场的降温,直接影响了许多正在融资的初创项目。上述 DeFi 项目方表示,除了传统VC机构暂停了投资谈判,不少专门投Web3的机构减少了单笔投资的金额,或要求投资项目主动降低估值。
比起已经完成或部分完成融资的项目,另一些更早期阶段的 Web3 创业者,则是融资碰壁遇阻。G3 在帮助社区内不少从Web2 领域转型 Web3 的创业者对接投资机构时发现,如果缺少足够的Web3 Native 背景经验与相关资源,即使有一定的产品及技术能力,现阶段也很难拿到钱。
G3 社区一位 DID 方向的项目方负责人表示,经过大约半年产品打磨,项目在6月份完成内测后开始启动融资。在聊了十余家VC机构后,结果并不理想,现阶段不得不停止市场活动,把主要成本支出集中在产品和研发上。
也有部分创业者开始把目光转向各类行业垂直会议、黑客松、创业营、孵化器等活动,希望可以从中得到更好的露出机会、Web3 Native资源的背书、Grant 奖金支持等。
一位Web3 存储协议项目负责人表示,他们参加了6月举办的Polkadot Decoded会议,这是他们第一次公开出现在线下大型会议中,这让团队在熊市有机会和业内机构直接近距离接触。
由于散户不知道机构是持有的筹码是现金还是币(资产);如果是持币,散户仍然不知道机构是持有主流币还是山寨币。
因此牛市时,众多机构可以利用自身的专业技术、信息差优势、一级成本优势,并加杠杆形成资金规模优势,在现金、主流币、各板块热点山寨币甚至NFT之间来回切换,制造极大的交易量和巨大的波动性,从而实现获利。
但到了熊市,散户活跃度与交易量逐渐下降,就会形成了机构大户之间的存量博弈。这时候在牛市过高加杠杆、持有了大量山寨币头寸,尤其是在牛市把现金筹码换成币并牺牲流动性进行质押锁仓的机构大户,一旦不及抽身则容易出现爆雷或现金流困难。
而在牛市把币换成大把现金筹码的平台,则可以在这时开始进行投资,并收购那些出现困难的超跌机构与项目,进行市场扩张。
7月1日,Binance 首席执行官 CZ 表示,目前持有大量现金储备,正在积极寻求支持陷入困境的加密公司,希望帮助大多数有一些流动性紧缩的公司度过这个周期,目前正在与 50 多家加密公司就收购一事进行交涉。
“目前这个市场目前最大的金主仍然是大型交易所,他们熊市并购市场的主要买家。由于大型交易所在牛市积累了大量本金,同时良好的现金流又很难让它们用骚操作把自己玩脱。虽然有时候会交一些盲目扩张或者安全问题的学费,但是相比一些大量加杠杆的机构,还是相对安全不少。”0xTodd 表示。
值得注意的是,并购市场的一些金主还包括了DEX(DeFi),比如近期 Uniswap Labs 收购了 NFT 聚合市场Genie。
另一个逆市大举扩张的金主则是 FTX 的SBF。今年四月,FTX宣布完成对日本加密货币交易平台Liquid的收购;最近 FTX 又或将以最高 2.4 亿美元的可变价格收购 BlockFi。此外还有消息称 FTX 对即将遭受重创的加密货币采矿业进行收购持开放态度,同时FTX仍在寻求并购美国证券经纪商的机会,以便向美国客户提供股票交易服务。
众多国外机构因风控等原因陷入困境,客观上也给币安、FTX等头部交易所创造了“捡漏”扩张的机会。Cobo Ventures 投资VP Alex Zuo 则认为,“很多美国(国外)机构并没有我们想象中强,都在试图用法律和监管去重走我们当年走过行不通的路,比如矿机借贷、同业拆借;把大部分精力放合规申请牌照、参与华尔街会议等方面,但并没有去努力提高盈利和技术风控水平,甚至还有托管同业动了客户资金,因此最近发生的一些危机属于必然。”
关于机构熊市何时抄底,创业者如何度过熊市和进行融资,也有机构给出了自己的建议。
作为经历过多轮牛熊的投资者,Web3Vision 创始人杨林苑乐观认为,熊市是投资一级市场的最佳窗口期,真正优秀的创业者需要经过市场的洗礼,好的资产在熊市中估值也会变得更合理。在上一轮熊市底部,许多早期优质项目并没有太多机构竞争,他们反而更容易投上。
“有些跟进的不错项目,我们错过了种子轮和早期轮次,这类项目在熊市中后期因为现金流等原因,在新一轮融资的估值上松口,我认为这也是投资的好时机。”密码极客投资负责人Iren表示,之前看好的项目,熊市一旦降估值,他们也会考虑跟进或者追加投资。
Iren还建议没有太多现金的项目方,无论如何一定要撑过这个熊市,如果倒在了黎明前夜(从过往经验来看这个比例不低)就太可惜了。如果能降低估值拿到融资活下来,也是不错的选择。
0xTodd 同样认为,很多有潜力的项目其实都是在熊市底部孕育的,从过往周期来看,有九成的项目都会倒在熊市当中。对于投资方来说,他们熊市偏向于投资精简的团队,能用“省电模式”,用融到的钱扎实地开发、落地,才能顺利度过熊市。对于项目方来说,哪怕你只是坚持了下来,达成活下来简单的任务,就已经跑赢90%的同行。
“投资是反人性的过程,所以我们一般不去猜底,通常无人问津的时候就是底了。最佳抄底的左侧指标很难赌中,我倾向于认为需要等到大盘有明显的右侧指标之后,才会迎来抄底的次佳时机。“0xTodd 表示。
原文链接