就像被称为“科技者盛宴”的苹果发布会一样,DeFi领域备受瞩目的明星项目—Uniswap也在近日发布了新版本方案。不同于经典的V1,V2版本,Uniswap最新的V3版本引入了几个新特性:流动性聚合、多级费率以及预言机的升级等。
从Uniswap V3发布后的实际情况看,外界褒贬不一,众说纷纭。有人对其大加赞赏,也有人直言深感失望。在此,我们特意甄选出几个值得市场关注问题和商榷进行讨论。需要强调的是,在很多情况下,由于定义和标准的不同,即便针对同一问题,最后得出的结论也可能不同。因此,我们不妨抱着求同存异的心态,从不同角度来更全面地认识Uniswap V3。
1. Uniswap V3是订单薄模式吗?
在Uniswap V3发布后,很多DeFi社区的意见领袖将其视为订单薄梯度模式,理由是Uniswap V3引入了“范围内挂单(Range Orders)”功能,允许流动性提供者(LP)在高于或低于当前价格的自定义价格范围内存放数字资产。
然而,如果仅凭此就将Uniswap V3视为订单薄模式的退化,那未免也太小瞧Uniswap V3的创新性了。事实上,如果仔细研究Unsiwap V3的设计理念,可以发现Uniswap V3根本不是订单薄模式—Uniswap V3 为AMM引入了“价格刻度”(tick),LP可根据市场情况将资产放置在不同的价格范围内,而这丝毫没有改变自动做市商(AMM)的运作模式!
在传统的订单薄交易中,无论是竞价制度还是做市商制度,双方需要将订单(包含价格和标的数量)挂至订单薄上,以价格作为信号进行交易。其中,在竞价制度中的要求撮合是按最有利于交易双方的价格买卖资产;同样地,做市商制度中要求做市商必须事先报出买卖价格,而投资人在看到报价后才能下达交易委托。从上我们可以看出,在订单薄中,流动性提供者都是主动提供报价,市场根据“价格优先”原则进行交易,由此实现了价格发现功能。
图1. 竞价制度下的订单薄示意图

但在Uniswap V3中,LP根本没有主动提供报价,他们仅仅是将流动性放置在不同的价格范围内!Uniswap V3上的交易价格与Uniswap V2一样,仍然是依靠流动性(向合约中加入资产x或资产y)而非订单指令驱动,交易价格由资产池中两种资产的比例所决定,因此也依然没有价格发现功能。
更形象地,如果将Uniswap V2中的流动性设计比作一个水箱,在各价位处所提供的流动性都是一样的;那么Uniswap V3在设计原理上,更像是在一个水箱中安装了卡槽,LP可根据市场价格在不同价格范围的“卡槽”内放置流动性,具体如下图所示。

因此,Unsiwap V3并没有退化成订单薄模式,它仅仅是引入了“价格刻度”,成为一只披着羊皮的狼而已。而对于Range Orders功能,Uniswap V3白皮书中的用词更准确一些: “范围内订单”(Range Orders)更类似于一种限价挂单策略—当价格横穿给定的限价范围时,流动性提供者所拥有的头寸就会由一种资产完全变成另一种资产。
2. Uniswap V3的资本效率真的提高了吗?
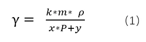
Uniswap V3的一大特性是通过“流动性聚合”来提高资本效率。在经济学的定义上,衡量资本效率可通过以下公式实现:
资本利用率 = 收入 / 资产
在Uniswap上,资产即LP放置在Uniswap上的流动性,收入来源于交易手续费。其中,交易手续费又与交易笔数、平均每笔交易金额和手续费率有关。在不考虑资产价格变化和LP进入/退出的情况下,在某一段时间内,资本利用率可用如下公式表示:

其中,k是该时间内的交易笔数,m为平均每笔交易金额,ρ为手续费率,x为资产池中X资产的数量,y为资产池中Y资产的数量,P为X相对于Y的价格。
从公式(1)可以看出,想要提高AMM上的资本利用率,要么提高交易金额或手续费,要么降低资产池中的资产价值。
那么 Uniswap V3是如何提高资本利用率的呢?Uniswap官网上给出了一个案例:
爱丽丝和鲍勃都想在Uniswap v3的ETH / DAI池中提供流动性。他们每个人都有100万美元。在达到相同流动性深度的情况下,Uniswap V2需要存入500,000 DAI和333.33 ETH(总价值100万美元);而在Uniswap V3的$ 1,500- $ 1,750价格范围内,仅仅需要存入91,751 DAI和61.17 ETH(总价值约183,500美元),由此提高了资本效率。
从上可以看出,Uniswap V3提高资本利用率的关键在于减少了资本池的总价值(x*P+y)。
然而,当看完上述案例时,我们却总能隐隐约约地感觉有什么地方不对。Uniswap V3真的提高了AMM的资本利用率吗?
一个最明显的案例:假设Uniswap V2和Uniswap V3在一段时间内的交易手续费都为1,000 DAI,同样地,平台上所有的LP都为Uniswap V2和Uniswap V3提供了价值 100,000的流动性,那么根据公式(1),Uniswap V2和Uniswap V3的资本利用率是一样的。
从上可以看出,评判Uniswap V3的资本效率情况,涉及立场和角度问题。
从个体角度出发,如果某一个人将自己的流动性都集中在某一价格范围内,那么其个人的资本利用率可以提升;然而,市场整体的资本效率却未因此得到改善。
此外,Uniswap V3在资本效率优化设计方面,仅仅考虑了个体,而忽略了市场上其他人对本人造成的影响,这在经济学上称为外部性。
什么是外部性?还是以Uniswap V3官网上的案例为例:设计人员认为在V3版本下,如果一个人有100万美元的流动性,仅需存入91,751 DAI和61.17 ETH(总价值约183,500美元)即可。但实际情况是,在市场上共有100万美元流动性的情况下,如果人们认定未来价格只会在$ 1,500- $ 1,750的价格范围里变动,那么从理性决策出发,每位LP都会将自己的流动性放置在$ 1,500- $ 1,750的价格范围里,因此,Unsiwap V3依然会被存入总价值100万美元的流动性。此时,Uniswap V2和Uniswap V3并没有什么本质差别,资本效率仍是一样的。
更为重要的是,Uniswap V3会引发公平性问题。在Uniswap V2中,所有的LP地位都是平等的,所获取的手续费也是平均分配。然而,Uniswap V3通过“范围内挂单(Range Order)”的设置来聚合流动性,以此提高资本效率。同时,Uniswap V3规定,当市场价格在制定的价格范围内,LP可获取交易费用;而当市场价格移到价格范围外,这部分流动性将不再赚取手续费。
这在无形中为Uniswap V3引入了流动性竞争机制—有组织性的、专业的LP将会实时根据市场价格的变动调整自己存放流动性的价格范围,以此获取更大的收益;而普通的LP很难及时调整,因此其资本效率和手续费分成也相对更低。
因此,从总体上看,Uniswap V3最为重视的“流动性聚集”,并未从根本上改善平台整体的资本利用率。相反,由此引发的流动性竞争,还会造成公平性问题以LP调整头寸带来的Gas损耗,这一点是得不偿失的。
免责声明:数字资产交易涉及重大风险,本资料不应作为投资决策依据,亦不应被解释为从事投资交易的建议。请确保充分了解所涉及的风险并谨慎投资。欧易OKX学院仅提供信息参考,不构成任何投资建议,用户一切投资行为与本站无关。